2021年张家港中小学民办学校摇号录取名单出炉

常青藤实验学校初中部中签名单
常青藤实验学校小学部中签名单
常青藤实验学校小学部(合作办学)中签名单
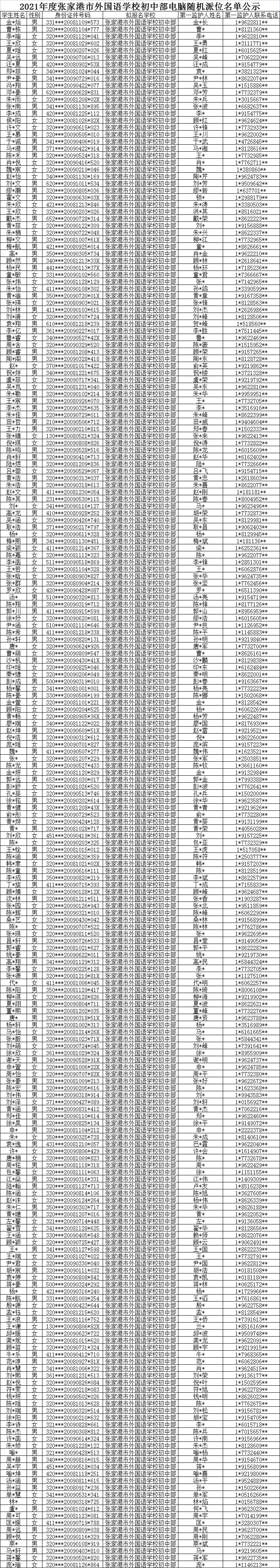
外国语学校初中部中签名单
外国语学校初中部(北区合作办学)中签名单
外国语学校小学部(北区合作办学)中签名单

关于现场审核的友情提醒
1.电脑随机派位未取得学位的学生家长,请及时(7月6日)进入报名系统,重新申请学校,初审通过后7月10日至相应现场审核。
2.电脑随机派位取得学位的学生家长,请于7月4日至相应学校进行现场审核。
如有疑问,请及时与学校联系。
