2021年张家港外国语学校摇号录取名单公示

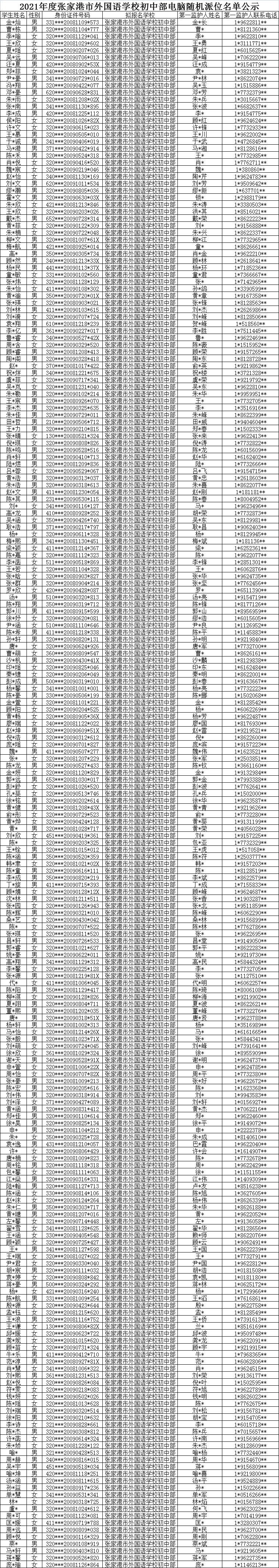
2021年外国语学校初中部中签名单
2021年外国语学校初中部(北区合作办学)中签名单
2021年外国语学校小学部(北区合作办学)中签名单
关于现场审核的友情提醒
1.电脑随机派位未取得学位的学生家长,请及时(7月6日)进入报名系统,重新申请学校,初审通过后7月10日至相应现场审核。
2.电脑随机派位取得学位的学生家长,请于7月4日至相应学校进行现场审核。
如有疑问,请及时与学校联系。

2021年外国语学校初中部中签名单
2021年外国语学校初中部(北区合作办学)中签名单
2021年外国语学校小学部(北区合作办学)中签名单
关于现场审核的友情提醒
1.电脑随机派位未取得学位的学生家长,请及时(7月6日)进入报名系统,重新申请学校,初审通过后7月10日至相应现场审核。
2.电脑随机派位取得学位的学生家长,请于7月4日至相应学校进行现场审核。
如有疑问,请及时与学校联系。